|
Nohachi's suspension ramblings thread
|
|
12-18-2010, 12:31 PM
Post: #51
|
|||
|
|||
|
Nohachi's suspension ramblings thread
Nice to see some input again on this. Can't contribute a lot at the moment as I will only get my car back in a bit more than a month... I'll do some more measuring then and see where it takes me.
@roman: do you happen to know if cressida or similar LCAs can be used on the AE86 and if they differ in length? As I'm still looking for ~25mm longer ones (oem prefered over pillowball) to be able to refit my BV2 steering kit. As I had issues with the wheel touching the chassisbeam on full lock and also the tie rods running out of adjustment range (too long, as kit increases the length of the rack itself). AE86 ex-daily |
|||
|
12-21-2010, 03:55 AM
Post: #52
|
|||
|
|||
|
Nohachi's suspension ramblings thread
No idea sorry.
I do know that carina/celica/corona (TA63, AA60 etc) steering arms fit on AE86 LCAs and vice versa, so it's possible that carina LCAs will fit into AE86. Carina steering arms have got the wider bolt spacing for the strut compared to AE86, so you can fit the carina/corona/celica/celicasupra/cressida/etc struts into an AE86 that way. Just need the AE86 top hats. 10" vented disc with big single pot caliper on the celica/corona/etc struts, cheap/easy bolt together brake/strut upgrade over standard AE86 bits. What are the sizes/dimensions/etc of the AE86 LCA? I've got some here I could measure for comparison. |
|||
|
12-21-2010, 07:25 AM
Post: #53
|
|||
|
|||
|
Nohachi's suspension ramblings thread
Don't have the car around for another 5 weeks, so. the only dimension I know is length from bolt to ball center ~305mm and I'm looking for some in the area of 330 +/- 5.
AE86 ex-daily |
|||
|
12-27-2010, 03:40 PM
Post: #54
|
|||
|
|||
|
Nohachi's suspension ramblings thread
SUSPENSION BY NUMBERS: a theoretical approach.
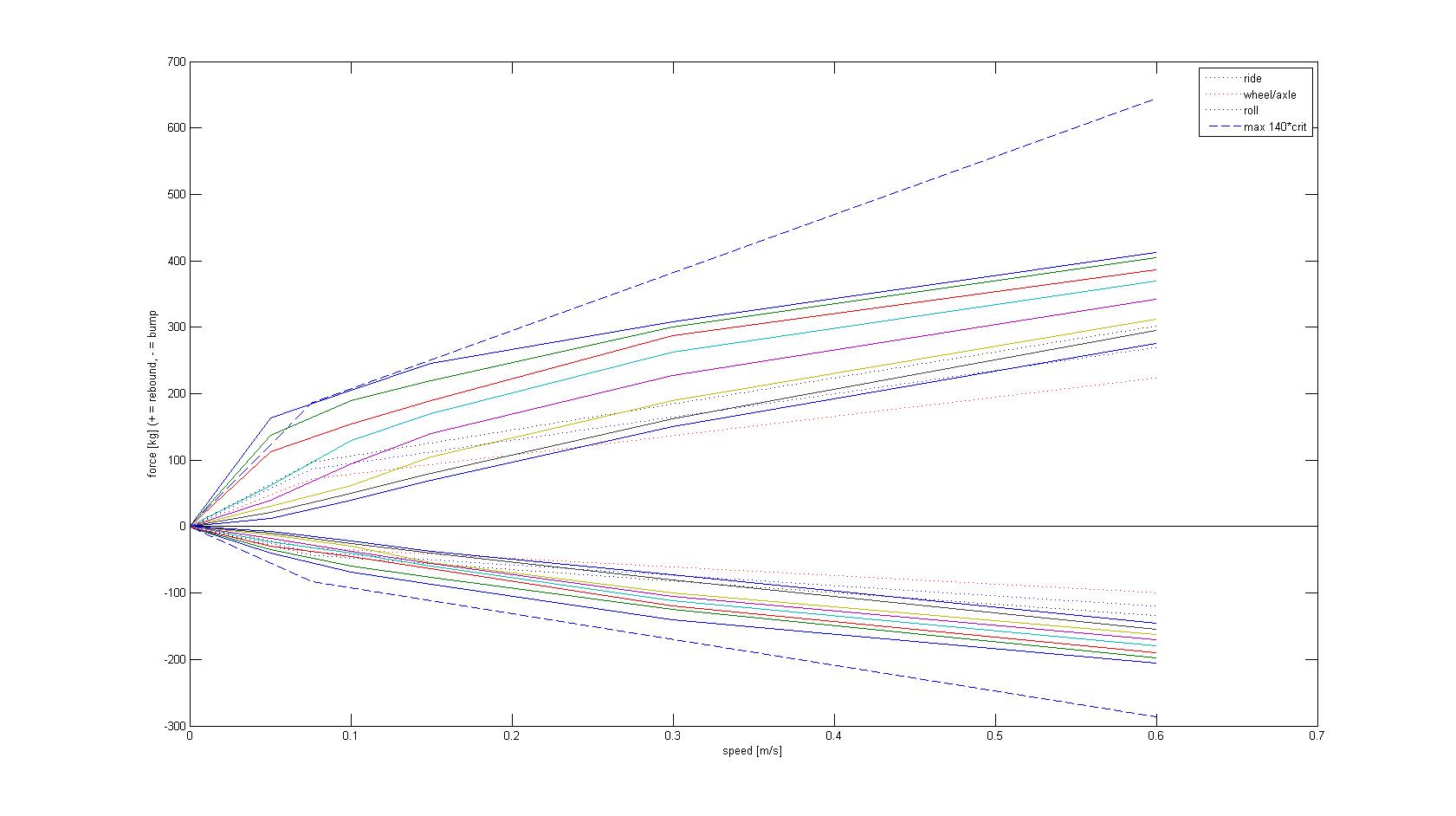
For some time I have been working on the most basic of models of the AE86s basic chassis statics. The same thing has been done for the MX5 and there it seemed to work.. One effort led to a now successful suspension company and the other to a sub 8min budget ring tool. Worth a shot on the old 86. The basic effort is based on the papers found here: http://www.optimumg.com/OptimumGWebSite/...hTips.html and some SAE papers that factory engineers used before the age of the computer. The models are not gospel, but do seem to adhere to the 80-20 rule. They will get you 80% of the way, for 20% of the effort and costs. The remaining 20% will cost you 80% of the total effort. Good enough to know if a setup is in the ballpark or not. The basic workflow for a suspension is simple. Map out the camber curves of the car. Estimate at what G's the car will corner with the target tires Put stuff into model and keep adding spring rate untill the roll is small enough to keep all tires reasonably flat on the road. Add shocks to control the springs. This post pertains to the last step. Most of you pick springs and arb's based on whatever is available or popular. Most don't have that much choice. Given these popular setups and some shock dyno's we can take a look and see if the shocks are "in the ballpark" for their application. From the model 4 results can be determined: 1: suspension of the body vs the ground in single wheel bump (this is called ride-rate) 2: suspension of the wheel vs the body, also known as the wheel hop frequency 3: suspension of the body during roll, with the ARB's adding springrate, known as the roll-rate 4: Theoretical upper limit to necessary shock force. Basically we know with 90% certainty that if the shock force is bigger then 140% critical, that even given small measurement errors etc the shock is WAY to stiff for the suspension. We need the shock to control 1 : 3 and we certainly don't want it to be above 4. 0 - 0.08m/s is the speed region associated with handling, driver inputs and roll. (low speed) Anything above 0.15m/s is associated with bumps, curbs and other high speed impacts. This has the biggest influence on comfort. You'll see that for the undriven wheels, most cars will run digressive valving that is stiff during handling maneouvres and "blows off" on high speed impacts to provide some comfort. Most tuners will have more linear damping on the driven wheels. For our model we focus on the fronts for the moment. The various rates are given at 65% critical damping as some might have seen here: http://farnorthracing.com/autocross_secrets.html There is a difference between the autocross and our setup in that we taper off the shock forces at higher speeds, ending up at around 40% critical damping. This helps for better grip and comfort. I'll spare you the details and give you the results for 2 setups for which I had the shock dyno's: the evergreen Tokico HTS and 8/6 rates and a setup Jondee posted based on his own street rate springs and revalved bilsteins. SETUP 1: Standard Tokico HTS AE86 dorifto. First we calculate the demands from the springs and chassis. The following graph shows the various modes 65%->40% critical damping forces and the 140% critical upper limit: ![]() Now we show the same graph, but we overlay the dyno data from the HTS shown on page one of this thread. ![]() What do we see in this mess? Well first that the HTS does indeed fall in the range between 0.5 and 1.4% of critical damping. That means that we should be able to get handling dialled in using these shocks! excellent.. The three softest settings are underdamped in both bump and rebound for optimum handling. But they are right on the curve for the high speed stuff. My guess is this feels a bit squishy when steering, but about as comfortable as you can get 8/6 springs. Settings 4 and 5 are OK. My guess is this is what most people end up with if they adjust them based on overall feel. 6, 7, 8 are towards the overdamped range of the spectrum, but overall not bad at all. My guess is that there is only 1 kind of HTS valving used in most if not all applications. The 86 valving seems optimised for a slightly heavier car then the AE86, probably perfect under a 1200kg 240Z. But they are suited to the 8/6 sprung AE86 very well indeed. A quick glance at another much used setup. Again HTS, but with 6/4 springs: [img name=]http://www.aeu86.org/files/64/64springs_797.jpg[/img] You can see that we're still within the HTS's damping range. We can find 2 settings. One that has good high speed damping for traction and comfort on the street. And one that optimises handling (but compromised traction, probably good for drift). For a track car using softer rates, you could specify a shock that will provide faster lap times. Still the forces are all in the ballpark, so +1 bonus point to the HTS. A solid shock for your money if you look at forces. SETUP 2: JONDEE BILSTEINS. Interestingly enough, Jondee was kind enough to post some data on springrates and dyno curves that were recommended to him by the local Bilstein specialist. Springrates are 3.0/2.8: [img name=]http://www.aeu86.org/files/jo/jondeebilstein_270.jpg[/img] Strangely enough they are digressive on the bump stroke in stead of rebound. I've seen most shocks valved the other way around but don't know how this works out in practice. From the graphs we can see that the damping rates are just about perfect during the bump stroke at all speeds. Rebound damping is spot on at high speed, but seems to lack low speed control. Probably a consequence of having a piston that allows only one side to be digressive. The numbers suggest that the setup might need some more rebound force. Conclusions for now: I was very happily surprised to see that these shocks were in the correct ball park for the AE86. That means you should end up with a decent handling car if you use these setups. How bad can it be? Well, I have seen some BC racing setups that were at 400% critical damping during the rebound stroke. 400%!!! A wheel to steer the front of the car A pedal to steer the rear |
|||
|
12-27-2010, 08:23 PM
Post: #55
|
|||
|
|||
|
Nohachi's suspension ramblings thread
Excellent writeup, great effort. Thanks!!! (Have you any info about KYB AGX?
)
http://www.ae86.hu |
|||
|
12-28-2010, 12:59 AM
Post: #56
|
|||
|
|||
|
Nohachi's suspension ramblings thread
I would love to know what AGX do as well. But until someone dyno's them we'll never know. Would love to see some koni graphs too.
A wheel to steer the front of the car A pedal to steer the rear |
|||
|
12-28-2010, 10:23 PM
Post: #57
|
|||
|
|||
|
Nohachi's suspension ramblings thread
Excellent stuff.
I cant wait to test out new MCN stuff with custom 6/4 spring rates on my second project AE86 Front will be with converted to short stroke adjustable coilovers. AE86 is such a great car to learn car handling and to play with settings. Drifting - best fun you can have in your car with your pants on! |
|||
|
12-28-2010, 10:26 PM
Post: #58
|
|||
|
|||
Nohachi's suspension ramblings thread
NoHachi Wrote:I would love to know what AGX do as well. But until someone dyno's them we'll never know. Would love to see some koni graphs too. I have AE86 front koni shocks, MCN front and rear. How do I dyno them to contribute to this thread? Drifting - best fun you can have in your car with your pants on! |
|||
|
12-28-2010, 10:37 PM
Post: #59
|
|||
|
|||
|
Nohachi's suspension ramblings thread
You have to have a suspension shop run them on a shock dyno. No idea if there are any racer shops that have one. Motorcycle specialists have them sometimes but i doubt if they have the tooling to accept struts. Thats the problem with this stuff. The people that figure it out keep it to themselves. Bugger! I have plans to build a diy dyno but still missing funds to do so.
A wheel to steer the front of the car A pedal to steer the rear |
|||
|
12-28-2010, 11:12 PM
Post: #60
|
|||
|
|||
|
Nohachi's suspension ramblings thread
By the way, What is the length on those springs? Dunno, something seems off.
A wheel to steer the front of the car A pedal to steer the rear |
|||
|
« Next Oldest | Next Newest »
|
User(s) browsing this thread: 1 Guest(s)





![AEU86 AE86 - Nohachi's suspension ramblings thread [Image: AEU86 AE86 - Nohachi's suspension ramblings thread]](https://www.aeu86.org/files/86/86graph_201.jpg)
![AEU86 AE86 - Nohachi's suspension ramblings thread [Image: AEU86 AE86 - Nohachi's suspension ramblings thread]](https://www.aeu86.org/files/ht/htsgraph_158.jpg)
)